PMDT

Preliminary Mission Design Tool (PMDT) for multi-target ADR tours

Paper: Design and guidance of a multi-active debris removal mission
Authors: Minduli C. Wijayatunga, Harry Holt, Laura Pirovano, Alekxr Lidtke, Roberto Armellin
Venue: Astrodynamics, 2023
DOI: 10.1007/s42064-023-0159-3
Multi-target low-thrust tours • Extended Edelbaum • J2-driven RAAN matching • Drag + eclipses + duty cycle • Fast tour evaluation

Overview

PMDT is a preliminary mission design tool built to evaluate and optimise multi-target low-thrust active debris removal (ADR) tours with realistic operational effects: \(J_2\)-induced precession for RAAN matching, atmospheric drag, eclipses (available thrust time), and duty cycles.

What PMDT gives you
  • • Per-leg \(\Delta v\) and time-of-flight (TOF) estimates for a candidate tour
  • • A RAAN-matching transfer construction using a thrust–phasing–thrust sequence
  • • Support for drag, eclipses, and duty-cycle constraints in the low-thrust transfer model
  • • A practical basis for screening many tour candidates before committing to high-fidelity optimisation

In the paper’s case study, the mission uses two spacecraft (Servicer + Shepherd) to remove multiple tonne-class objects from sun-synchronous LEO, with a hybrid of low-thrust transfer arcs and chemical deorbiting for re-entry compliance.

Thrust–phasing–thrust structure
Multi-ADR tour conops.

Method

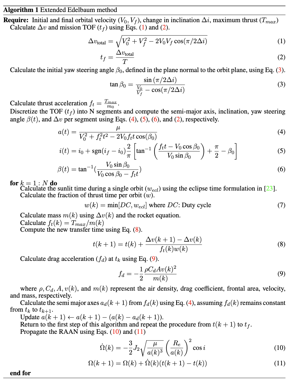
1) Extended Edelbaum transfers (drag + eclipses + duty cycle)

PMDT builds on an extended Edelbaum method to compute low-thrust transfers in \((a,i)\) while accounting for drag (semi-major axis decay), eclipse-limited thrust availability, and duty-cycle throttling. Conceptually, the transfer is discretised into nodes and updated with additional accelerations and availability weights.

Thrust–phasing–thrust structure
Extended Edelbaum Method

2) RAAN matching via thrust–phasing–thrust (using \(J_2\) precession)

To match a target RAAN efficiently, PMDT inserts an intermediate phasing orbit that leverages differential \(J_2\) precession. The sequence is: thrust to a phasing orbit, coast (with optional drag-compensation thrust), then thrust to the target orbit.

Thrust–phasing–thrust structure
Thrust–phasing–thrust RAAN-matching structure (originally from Max Cerf).
Thrust–phasing–thrust structure
RAAN Matching Method

3) Multi-target tour accounting (handover + proximity operations)

For a candidate tour \(\{\text{debris}(1),\dots,\text{debris}(N)\}\), PMDT sums transfer costs leg-by-leg and includes non-transfer phases such as handover time and proximity operations time. The Shepherd orbit and the Servicer’s rendezvous/return pattern are explicitly represented in the tour evaluation.

Thrust–phasing–thrust structure
Fitness function calculation for the optimization

Results

Fuel-optimal Tour for 3 Debris Collection
Total: \(\Delta v = 945.58\,\mathrm{m/s}\), TOF = 1825.00 d
Fuel-optimal tour and guidance profile
Fuel-optimal tour: guidance/profile.
Fuel-optimal tour terminal errors
Fuel-optimal tour: error over time
Time-optimal tour for 3 Debris Collection
Total: \(\Delta v = 1500.00\,\mathrm{m/s}\), TOF = 1274.54 d
time-optimal tour and guidance profile
Time-optimal tour: guidance/profile.
time-optimal tour terminal errors
Time-optimal tour: error over time

Resources

If you use PMDT to screen tour candidates, consider keeping PMDT’s model fidelity aligned with the downstream optimiser (e.g., perturbation set, eclipse model, and duty cycle) to avoid ranking artefacts.

Cite this work

BibTeX

@article{Wijayatunga2023PMDT,
  title   = {Design and guidance of a multi-active debris removal mission},
  author  = {Wijayatunga, Minduli C. and Armellin, Roberto and Holt, Hugh and Pirovano, Laura and Lidtke, Ashley A.},
  journal = {Astrodynamics},
  year    = {2023},
  doi     = {10.1007/s42064-023-0159-3}
}